Sombra solo cepillo de maquillaje de alta calidad grande cepillo suelto cepillo de La Fundación cepillo de sombra de ojos cepillo en forma de abanico belleza
Código: WB-240513-2407

Hacer que importar sea más cómodo
Usted
Enviar lista de compra
CHILATSHOP Servicio
Ofrecemos cotización integrada con precios EXW (recogida en fábrica) o FOB (entrega en puerto de salida)
1
Selección y cotización
2
Confirmación y pago
3
Supervisión y control de calidad
4
Consolidación y transporte
5
Despacho aduanal y entrega
Atributos clave
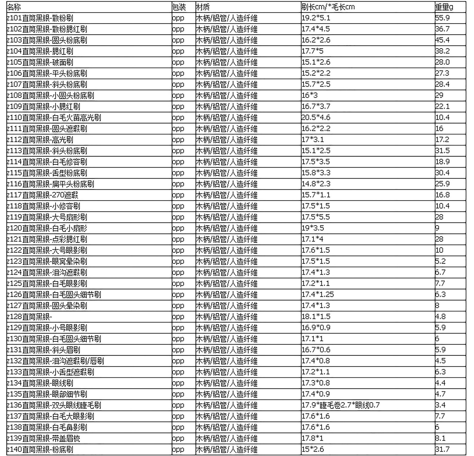
| Especificaciones | Bolsa de almacenamiento (14 agujeros),40 piezas traje completo,40 juegos completos +(14 agujeros) Pack uno,Cepillo z101-powder,Z102-loose polvo rubor cepillo,Cepillo principal z103-round de la Fundación,Cepillo z104-blush,Cepillo z105-slope,Cepillo principal Z106-flat de la Fundación,Cepillo principal z107-oblique de la Fundación,Cepillo principal redondo Z108-small de la Fundación,Z109-small Blush Brush,Cepillo de luz alta de llama de pelo z110-white,Cepillo corrector cabeza de z111-round,Cepillo ligero z112-high,Cepillo principal z113-oblique de la Fundación,Cepillo z114-white de la reparación del pelo,Z115-tongue Foundation Brush,Cepillo principal z116-flat de la Fundación,Cepillo corrector z117-270,Cepillo de reparación de z118-small,Cepillo de ventilador z119-large,Ventilador pequeño pelo Z120-white,Z121-dotted Blush Brush,Cepillo de sombra de ojos Z122-large,Zócalo z123-eye cepillo floreciente,Z124-yellow lagrimal groove corrector cepillo,Cepillo de sombra de ojos pelo Z125-white,Pelo Z126-white cabeza redonda detalle cepillo,Cepillo redondo del tinte del vértigo z127,Cepillo de sombra de ojos z128-white,Cepillo de sombra de ojos de tamaño z129-small,Z130-white pelo prototipo detalle cepillo,Cepillo de la ceja del z131-oblique,Cepillo corrector de ranura z132-tear/cepillo de labios,Cepillo corrector z133-tongue,Cepillo z134-eyeliner,Z135-eye detalle cepillo,Z136-double-headed cepillo de pestañas a lo largo de la línea,Z137-white pelo Big Eye Shadow Brush,Cepillo de la nariz del pelo del z138-white,Peine z139-eyebrow con cubierta,Cepillo Z140-foundation |
| Material de la cerda | Fibra artificial |
| Marca | Ronshadow/Sombra |
| Establecer el conteo del cepillo | 1 pieza |
| Origen | Dongguan |
| Categoría de producto | Cosmético Bolsa,Cepillo de maquillaje,Cepillo máscara,Cepillo del maquillaje,Cepillo de la miel,Eyeliner cepillo,Cepillo corrector,Cepillo de sombra de ojos,Cepillo del labio,Cepillo del polvo,Cepillo de cejas,Cepillo de la Fundación,Cepillo Blush,Afterpaint,Cepillo de labios,Cepillo nasal de la sombra,Cepillo para Barba,Resaltar/brillo cepillo,Cepillo de Pestañas/peine,Otros |
Mostrar más
Descripcion
Venta por lotes: la cantidad añadida es el mínimo requerido
US$ 0.332 - US$ 22.50
>=1 pcs
1. Especificaciones:

Bolsa de almacenamiento (14 agujeros)

40 piezas traje completo

40 juegos completos +(14 agujeros) Pack uno

Cepillo z101-powder

Z102-loose polvo rubor cepillo

Cepillo principal z103-round de la Fundación

Cepillo z104-blush

Cepillo z105-slope

Cepillo principal Z106-flat de la Fundación

Cepillo principal z107-oblique de la Fundación

Cepillo principal redondo Z108-small de la Fundación

Z109-small Blush Brush

Cepillo de luz alta de llama de pelo z110-white

Cepillo corrector cabeza de z111-round

Cepillo ligero z112-high

Cepillo principal z113-oblique de la Fundación

Cepillo z114-white de la reparación del pelo

Z115-tongue Foundation Brush

Cepillo principal z116-flat de la Fundación

Cepillo corrector z117-270

Cepillo de reparación de z118-small

Cepillo de ventilador z119-large

Ventilador pequeño pelo Z120-white

Z121-dotted Blush Brush

Cepillo de sombra de ojos Z122-large

Zócalo z123-eye cepillo floreciente

Z124-yellow lagrimal groove corrector cepillo

Cepillo de sombra de ojos pelo Z125-white

Pelo Z126-white cabeza redonda detalle cepillo

Cepillo redondo del tinte del vértigo z127

Cepillo de sombra de ojos z128-white

Cepillo de sombra de ojos de tamaño z129-small

Z130-white pelo prototipo detalle cepillo

Cepillo de la ceja del z131-oblique

Cepillo corrector de ranura z132-tear/cepillo de labios

Cepillo corrector z133-tongue

Cepillo z134-eyeliner

Z135-eye detalle cepillo

Z136-double-headed cepillo de pestañas a lo largo de la línea

Z137-white pelo Big Eye Shadow Brush

Cepillo de la nariz del pelo del z138-white

Peine z139-eyebrow con cubierta

Cepillo Z140-foundation
La cantidad indicada corresponde al pedido mínimo requerido por la fábrica; si necesitas ajustar la cantidad del producto, después de enviar el presupuesto, un gerente de compras hispanohablante se pondrá en contacto contigo para discutir los detalles del producto.
Búsquedas relacionadas
































